Movimiento armónico simple (1525) 6423

, por F_y_Q

Si se cuelga un objeto de 2 kg de un resorte, éste se alarga 10 cm con respecto a su posición de equilibrio. Usamos el mismo resorte para colocarlo en horizontal y fijar a él un cuerpo. Si desplazamos el sistema 5 cm de su posición de equilibrio y lo soltamos:

a) ¿Cuál será la amplitud de la oscilación?

b) ¿Cuáles serán el periodo y la frecuencia de la oscilación?

P.-S.

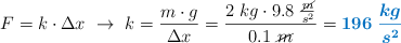
A partir de la ley de Hooke puedes determinar la constante recuperadora del resorte. Este valor está relacionado con el periodo de oscilación y el periodo, a su vez, con la frecuencia. Sigues esta secuencia para resolver el ejercicio:

F = k\cdot \Delta x\ \to\ k = \frac{m\cdot g}{\Delta x} = \frac{2\ kg\cdot 9.8\ \frac{\cancel{m}}{s^2}}{0.1\ \cancel{m}} = \color[RGB]{0,112,192}{\bm{196\ \frac{kg}{s^2}}}

a) La amplitud ha de coincidir con la elongación que provocamos al muelle al inicio, porque es la propia definición de amplitud. La amplitud será 5 cm.

b) El periodo lo obtienes a partir de la ecuación:

T = 2\pi \sqrt{\frac{m}{k}} = 2\pi \sqrt{\frac{2\ \cancel{kg}}{196\ \frac{\cancel{kg}}{s^2}}} = \fbox{\color[RGB]{192,0,0}{\bf 0.63\ s}}


La frecuencia es la inversa del periodo:

f = \frac{1}{T} = \frac{1}{0.63\ s} = \fbox{\color[RGB]{192,0,0}{\bm{1.59\ s^{-1}\ (Hz)}}}