Relación entre frecuencia y periodo (2472)

, por F_y_Q

Supón que la frecuencia de una oscilación es de 60 Hz.

a) ¿Al cabo de cuánto tiempo habrá efectuado 4 800 oscilaciones?

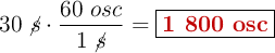
b) ¿Cuántas oscilaciones calculas que habrá realizado en 30 segundos?

P.-S.

Se trata de una aplicación de las definiciones de frecuencia y periodo. La frecuencia es el número de oscilaciones en un segundo, mientras que el periodo es el tiempo empleado en una oscilación.

a) 4\ 800\ \cancel{osc}\cdot\frac{1\ s}{60\ \cancel{osc}} = \fbox{\color[RGB]{192,0,0}{\bf 80\ s}}

b) 30\ \cancel{s}\cdot \frac{60\ osc}{1\ \cancel{s}} = \fbox{\color[RGB]{192,0,0}{\bf 1\ 800\ osc}}