Momento angular de un tiovivo con un chico paseando en él (7341)

, por F_y_Q

Una rueda de caballitos tiene un momento de inercia I = 210\ kg\cdot m^2 y gira alrededor de su eje vertical a 10.0\ \textstyle{rev\over min} . En su borde, que dista 1.40 m del eje, está sentado un muchacho de m = 60.0 kg. Calcula el momento angular del sistema rueda-muchacho.

P.-S.

Lo primero que debes hacer el calcular el momento de inercia del sistema completo, es decir, teniendo en cuenta la masa y la posición del muchacho en la rueda:

I_T = I_r + I_m\ \to\ \color[RGB]{2,112,20}{\bm{I_T = I_r + (m_m\cdot r_m^2)}}

Si sustituyes los valores obtienes:

I_T = 210\ kg\cdot m^2 + (60\ kg\cdot 1.4^2\ m^2) = \color[RGB]{0,112,192}{\bm{327.6\ kg\cdot m^2}}

La velocidad angular debe estar expresada en unidades SI y debes hacer el cambio de unidad:

\omega = 10\ \frac{\cancel{rev}}{\cancel{min}}\cdot \frac{2\pi\ rad}{1\ \cancel{rev}}\cdot \frac{1\ \cancel{min}}{60\ s} = \color[RGB]{0,112,192}{\bm{\frac{\pi}{3}\ \frac{rad}{s}}}

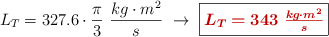
El momento angular del sistema es:

\color[RGB]{2,112,20}{\bm{\vec L = I_T\cdot \vec \omega}}

Basta con que calcules el módulo del momento angular porque su dirección y sentido será el mismo que el de la velocidad angular:

L_T = 327.6\cdot \frac{\pi}{3}\ \frac{kg\cdot m^2}{s}\ \to\ \fbox{\color[RGB]{192,0,0}{\bm{L_T = 343\ \frac{kg\cdot m^2}{s}}}}


Descarga el enunciado y la resolución del problema en formato EDICO si lo necesitas.