Moles y moléculas en una masa de NaCl (6462)

, por F_y_Q

Pesamos en un vidrio de reloj 100 g de NaCl. ¿Cuántos moles y moléculas están contenidos en esa masa?

Masas atómicas: Na = 23 ; Cl = 35.5

P.-S.

Lo primero que debes hacer es calcular la masa molecular de la sal:

\ce{NaCl}:\ 1\cdot 23 + 1\cdot 35.5 = \color[RGB]{0,112,192}{\bf{58.5\ \textstyle{g\over mol}}

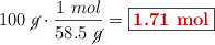
Ahora conviertes la masa en mol:

100\ \cancel{g}\cdot \frac{1\ mol}{58.5\ \cancel{g}} = \fbox{\color[RGB]{192,0,0}{\bf 1.71\ mol}}


Para calcular las moléculas de \ce{NaCl} debes aplicar el número de Avogadro:

1.71\ \cancel{mol}\cdot \frac{6.022\cdot 10^{23}\ mol\cute{e}c}{1\ \cancel{mol}} = \fbox{\color[RGB]{192,0,0}{\bm{1.03\cdot 10^{24}}\ \textbf{molec}}}


Puedes descargar el enunciado y la resolución del problema en formato EDICO si lo necesitas.