Moles, moléculas y átomos en una masa de oxígeno (174)

, por F_y_Q

Calcula cuántas moléculas, moles y átomos hay en 64 g de oxígeno gaseoso. (Masa atómica del oxígeno = 16).

P.-S.

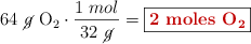
El cálculo de los moles se hace a partir de la masa molar del oxígeno:

\ce{O2}: 2\cdot 16 = \color[RGB]{0,112,192}{\bf 32\ \textstyle{g\over mol}}

64\ \cancel{g}\ \ce{O2}\cdot \frac{1\ mol}{32\ \cancel{g}} = \fbox{\color[RGB]{192,0,0}{\bf 2\ moles\ \ce{O2}}}}



Las moléculas de oxígeno se obtienen al aplicar el número de Avogadro:

2\ \cancel{mol}\ \ce{O2}\cdot \frac{6.022\cdot 10^{23}\ mol\acute{e}c}{1\ \cancel{mol}} = \fbox{\color[RGB]{192,0,0}{\bm{1.204\cdot 10^{24}}\ \bf{mol\acute{e}c}\ \textbf{\ce{O2}}}}


Como cada molécula está formada por dos átomos de oxígeno:

1.204\cdot 10^{24}\ \cancel{mol\acute{e}c\ O_2}}\cdot \frac{2\ \acute{a}t\ O}{1\ \cancel{mol\acute{e}c\ O_2}} = \fbox{\color[RGB]{192,0,0}{\bm{2.408\cdot 10^{24}\ \acute{a}t\ O}}}