Moles en distintos sistema materiales (2398)

, por F_y_Q

Indica el número de moles presentes en:

a) 450 g de \ce{H2SO4}.

b) 15 L de \ce{NH3} en condiciones normales de P y T.

c) 3.1\cdot 10^{25} moléculas de \ce{H2}.

P.-S.

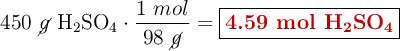
a) La masa molecular del ácido sulfúrico es:

M_{\ce{H2SO4}} = 1\cdot 2 + 32\cdot 1 + 16\cdot 4 = \color[RGB]{0,112,192}{\bm{98\ \frac{g}{mol}}}

Usas este dato como factor de conversión y calculas los moles:

450\ \cancel{g}\ \ce{H2SO4}\cdot \frac{1\ mol}{98\ \cancel{g}} = \fbox{\color[RGB]{192,0,0}{\textbf{4.59 mol \ce{H2SO4}}}}


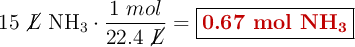
b) Un mol de cualquier gas, en condiciones normales, ocupa 22.4 L:

15\ \cancel{L}\ \ce{NH3}\cdot \frac{1\ mol}{22.4\ \cancel{L}} = \fbox{\color[RGB]{192,0,0}{\textbf{0.67 mol \ce{NH3}}}}


c) Un mol es igual a 6.022\cdot 10^{23} partículas:

3.1\cdot 10^{25}\ \cancel{mol\acute{e}c}\ \ce{H2}\cdot \frac{1\ mol}{6.022\cdot 10^{23}\ \cancel{mol\acute{e}c}} = \fbox{\color[RGB]{192,0,0}{\textbf{51.5 mol \ce{H2}}}}