Moles de un elemento en fórmula empírica 0001

, por F_y_Q

Si sabemos que hay 5 g de calcio en una muestra de cloruro de calcio, ¿cuántos moles de cloro habrá en la muestra?

P.-S.

Masas atómicas: Ca = 40 ; Cl = 35,5.
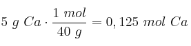
La fórmula del compuesto (CaCl_2) nos indica que hay el doble de moles de átomos de cloro que de calcio. Convertimos la masa de Ca en mol:

5\ g\ Ca\cdot \frac{1\ mol}{40\ g} = 0,125\ mol\ Ca


Por lo tanto, habrá:

2\cdot 0,125\ mol = \bf 0,25\ mol\ Cl