Molécula-gramo y átomo-gramo en masa de ácido sulfúrico 0001

, por F_y_Q

Calcula cuántas moléculas-gramo hay en 169 g de H_2SO_4. ¿Sería correcto hablar de átomos-gramo de este compuesto?

P.-S.

El concepto átomo-gramo no es correcto aplicarlo a un compuesto como el ácido sulfúrico. Sería más correcto hablar de molécula-gramo y coincide con la masa molecular del compuesto, expresada en gramos/mol:
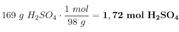
H_2SO_4 = 2\cdot 1 + 1\cdot 32 + 4\cdot 16 = 98\ g/mol

169\ g\ H_2SO_4\cdot \frac{1\ mol}{98\ g} = \bf 1,72\ mol\ H_2SO_4


Podemos decir que los 169 g de ácido contienen 1,72 mol de ácido o 1,72 molécula-gramo.
Si quisiéramos relacionar este concepto con el de átomo-gramo habría que especificar a qué átomos nos referimos. Por ejemplo, al haber dos átomos de H en cada molécula, habrá el doble átomo-gramo de hidrógeno que molécula-gramo de ácido.