Molaridad y molalidad (2356)

, por F_y_Q

Calcula la molalidad y molaridad de una disolución de 40 g de ácido carbónico disueltos en 500 mL de disolución. Supón que la densidad de la disolución es 1 g/mL.

P.-S.

Para calcular esas concentraciones, necesitas saber cuántos moles son los 40 g de \ce{H2CO3}. Su masa molecular es:

M_{\ce{H2CO3}} = 1\cdot 2 + 12\cdot 1 + 16\cdot 3 = \color[RGB]{0,112,192}{\bf 62\ g/mol}

Haces las conversión de la masa a mol usando la masa molecular que has calculado:

40\ \cancel{g}\ \ce{H2CO3}\cdot \frac{1\ mol}{62\ \cancel{g}} = \color[RGB]{0,112,192}{\textbf{0.64\ \ce{mol\ H2CO3}}}

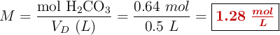
La molaridad es el cociente entre los moles de soluto y el volumen de la disolución, expresado en litros:

M = \frac{\ce{mol\ H2CO3}}{V_D\ (L)} = \frac{0.64\ mol}{0.5\ L} = \fbox{\color[RGB]{192,0,0}{\bm{1.28\ \frac{mol}{L}}}}


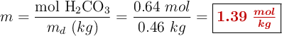
La molalidad es el cociente entre los moles de soluto y la masa de disolvente, expresada en kg. Si supones que la densidad de la disolución es 1 g/mL, la masa de los 500 mL sería 500 g. Como la masa de la disolución es la suma de las masas del soluto y del disolvente, la masa de disolvente sería: 500 - 40 = 460 g.

m = \frac{\ce{mol\ H2CO3}}{m_d\ (kg)} = \frac{0.64\ mol}{0.46\ kg} = \fbox{\color[RGB]{192,0,0}{\bm{1.39\ \frac{mol}{kg}}}}