Molaridad, molalidad y normalidad de una disolución de ácido sulfúrico (156)

, por F_y_Q

Una disolución de ácido sulfúrico tiene una concentración del 10\ \% en peso y una densidad de 1.05 g/mL. Calcula su: a) molaridad; b) molalidad y c) normalidad. (S = 32; O = 16; H = 1)

P.-S.

Para hacer el problema debes establecer una base de cálculo. Si tomas un 1 L de disolución, puedes hacer el cálculo de las concentraciones, una vez que deduzcas los moles de soluto.

Primero calculas las masas de soluto (S) y de disolvente (d) que están contenidos en ese litro:

10^3\ \cancel{mL}\ D\cdot \frac{1.05\ g}{\cancel{mL}} = {\color[RGB]{0,112,192}{\bf 1\ 050\ g\ D}}\ \to\ \left 1\ 050\ \cancel{g\ D}\cdot \frac{10\ g\ S}{100\ \cancel{g\ D}} = {\color[RGB]{0,112,192}{\bf 105\ g\ S}} \atop (1\ 050 - 105)\ g = {\color[RGB]{0,112,192}{\bf 945\ g\ d}} \right \}

Los moles de soluto son:

n_S = 105\ \cancel{g}\ S\cdot \frac{1\ \text{mol}}{(2\cdot 1 + 1\cdot 32 + 4\cdot 16)\ \cancel{g}} = \color[RGB]{0,112,192}{\textbf{1.07 mol S}}

a) La molaridad de la disolución es:

M = \frac{n_S}{V_D} = \frac{1.07\ \text{mol}}{1\ \text{L D}} = \fbox{\color[RGB]{192,0,0}{\bf 1.07\ M}}


b) La molalidad es:

m = \frac{n_S}{V_d\ (L)} = \frac{1.07\ \text{mol}}{0.945\ \text{L d}} = \fbox{\color[RGB]{192,0,0}{\bf 1.13\ m}}


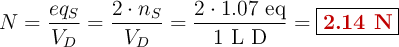
c) Dado que el ácido sulfúrico es diprótico, \ce{H2SO4}, el número de equivalentes de ácido es el doble que el número de moles, porque la masa de cada equivalente es la mitad, por lo tanto, la normalidad será el doble que la molaridad:

N = \frac{eq_S}{V_D} = \frac{2\cdot n_S}{V_D} = \frac{2\cdot 1.07\ \text{eq}}{1\ \text{L D}} = \fbox{\color[RGB]{192,0,0}{\bf 2.14\ N}}