Molaridad final de una mezcla de disoluciones 0001

, por F_y_Q

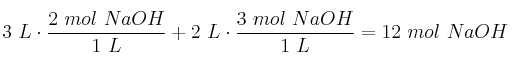
Se mezclan 3 L de una disolución de NaOH 2 M con 2 L de otra disolución de NaOH 3 M. Calcula la molaridad de la disolución resultante.

P.-S.

En primer lugar determinamos los moles de NaOH que contienen cada una de las disoluciones mezcladas: 3\ L\cdot \frac{2\ mol\ NaOH}{1\ L} + 2\ L\cdot \frac{3\ mol\ NaOH}{1\ L} = 12\ mol\ NaOH
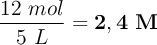
Si suponemos que los volúmenes son aditivos, el volumen final de la mezcla será 5 L, por lo que la molaridad de la disolución final es:

\frac{12\ mol}{5\ L} = \bf 2,4\ M