Molalidad de una disolución de glucosa (3559)

, por F_y_Q

¿Cuál es la molalidad de una solución con 400 g de glucosa (\ce{C6H12O6}) en 1 litro de agua?

P.-S.

La masa molecular de la glucosa es:

M_{\ce{C6H12O6}}= 6\cdot 12 + 12\cdot 1 + 6\cdot 16 = \color[RGB]{0,112,192}{\bm{180\ g\cdot mol^{-1}}}

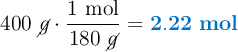
Conviertes la masa de glucosa en moles:

400\ \cancel{g}\cdot \frac{1\ \text{mol}}{180\ \cancel{g}} = \color[RGB]{0,112,192}{\bf 2.22\ mol}

Si consideras que la densidad del agua es 1 kg/L, la masa de disolvente sería de 1 kg, por lo que la concentración molal es:

m = \frac{2.22\ \text{mol}}{1\ kg} = \fbox{\color[RGB]{192,0,0}{\bm{2.22\ mol\cdot kg^{-1}}}}