Molalidad de una disolución 0002

, por F_y_Q

¿Cuál será la molalidad (m) de una disolución que fue preparada disolviendo 0,483 g de sulfato de aluminio en 140 mL de agua? (La densidad del agua es 1 g/mL).

P.-S.

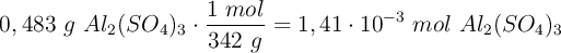
1. Calculamos lo moles de soluto. Para ello es necesario buscar los valores de masas atómicas en la tabla periódica: 27·2 + 32·3 + 16·4·3 = 342 g/mol

0,483\ g\ Al_2(SO_4)_3\cdot \frac{1\ mol}{342\ g} = 1,41\cdot 10^{-3}\ mol\ Al_2(SO_4)_3


2. Aplicamos la definición de molalidad. Para ello, y usando la densidad del agua, debemos saber que la masa de agua es 140 g = 0,14 kg:

m = \frac{1,41\cdot 10^{-3}\ mol}{0,14\ kg} = \bf 10^{-2}\ \frac{mol}{kg}