Mol y masa de reactivo y producto en la combustión del carbono (4926)

, por F_y_Q

Calcula, a partir de la reacción ajustada:

\ce{C + O2 -> CO2}

a) La masa y cantidad de oxígeno necesaria para reaccionar con 10 g de carbono.

b) La masa y cantidad de dióxido de carbono que se obtendrá en el caso anterior.

c) La cantidad de partículas de oxígeno que reaccionan y de dióxido de carbono que se desprenden.

Masas atómicas: C = 12 ; O = 16. Número de Avogadro: \ce{N_A} = 6.022\cdot 10^{23}

P.-S.

Dado que debes calcular la masa y cantidad de las sustancias indicadas, y el número de partículas, es mucho más adecuado trabajar la estequiometría de la reacción con mol que con masa.

a) Conviertes en mol la masa de C y aplicas la estequiometría, que es 1:1:1 en este caso:

10\ \cancel{g\ C}\cdot \frac{1\ \cancel{mol\ C}}{12\ \cancel{g}}\cdot \frac{1\ \ce{mol\ O2}}{1\ \cancel{mol\ C}} = \fbox{\color[RGB]{192,0,0}{\textbf{0.833 mol \ce{O2}}}}


Conviertes a masa el dato anterior:

0.833\ \cancel{mol}\ \ce{O2}\cdot \frac{16\cdot 2\ g}{1\ \cancel{mol}} = \fbox{\color[RGB]{192,0,0}{\textbf{26.6 g \ce{O2}}}}


b) Haces este apartado de manera análoga al anterior, aunque ya sabes los mol de \ce{CO_2} porque son los mismos que de \ce{O_2}:

0.833\ \cancel{mol}\ \ce{CO2}\cdot \frac{44\ g}{1\ \cancel{mol}} = \fbox{\color[RGB]{192,0,0}{\textbf{36.6 g \ce{CO2}}}}


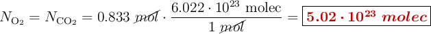
c) Como hay los mismos mol de \ce{O_2} que de \ce{CO_2}, el número de partículas de ambos ha de ser igual:

N_{\ce{O2}} = N_{\ce{CO2}} = 0.833\ \cancel{mol}\cdot \frac{6.022\cdot 10^{23}\ \text{molec}}{1\ \cancel{mol}} = \fbox{\color[RGB]{192,0,0}{\bm{5.02\cdot 10^{23}\ molec}}}