Mezcla de disoluciones con distinta concentración 0001

, por F_y_Q

Se mezcla 1 L de H_2SO_4 de densidad 1,38 g/mL y 62\% pureza con 1 L de otro H_2SO_4 de densidad 1,13 g/mL y 22,38\% de pureza. La densidad final del ácido sulfúrico es de 1,276 g/mL. Calcula:

a) Concentración en g/L.

b) Concentración en \% (m/V).

b) La concentración molar.

P.-S.

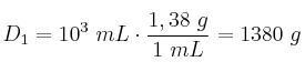
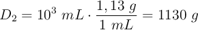
Empezamos el problema transformando los volúmenes de las disoluciones en masa. Esto se debe a que los volúmenes no son aditivos mientras que sí lo son las masas:
D_1 = 10^3\ mL\cdot \frac{1,38\ g}{1\ mL} = 1380\ g
D_2 = 10^3\ mL\cdot \frac{1,13\ g}{1\ mL} = 1130\ g
La masa de la disolución final es: (1380 + 1130 ) g = 2510 g. Pero necesitamos conocer el volumen final de la mezcla:
D_F = 2510\ g\cdot \frac{1\ mL}{1,276\ g} = 1967\ mL
Ahora vamos a calcular la cantidad de soluto que está asociada a cada una de las disoluciones que mezclamos.

S_1 = 1380\ g\ D_1\cdot \frac{62\ g\ S}{100\ g\ D_1} = 855,6\ g\ H_2SO_4


S_2 = 1130\ g\ D_2\cdot \frac{22,38\ g\ S}{100\ g\ D_2} = 252,9\ g\ H_2SO_4


El soluto presente en la disolución final es: (855,6 + 252,9) = 1108,5 g.
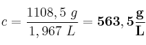
a) Para determinar la concentración en g/L solo tenemos que expresar el volumen final en litros:

c = \frac{1108,5\ g}{1,967\ L} = \bf  563,5\frac{g}{L}


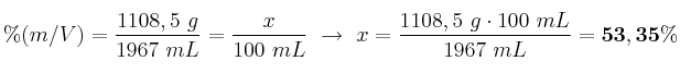
b) Para determinar la concentración en \% m/V solo tenemos que expresar el volumen final en mililitros y referir el soluto a 100 mL:

\% (m/V) = \frac{1108,5\ g}{1967\ mL} = \frac{x}{100\ mL}\ \to\ x = \frac{1108,5\ g\cdot 100\ mL}{1967\ mL} = \bf  53,35\%


c) La molaridad implica conocer el número de moles de soluto. Si tenemos en cuenta que la masa molecular del ácido sulfúrico es 98 g/mol:
1108,5\ g\ H_2SO_4\cdot \frac{1\ mol}{98\ g} = 11,3\ mol\ H_2SO_4
La molaridad será:

\frac{11,3\ mol}{1,967\ L} = \bf 5,7\ M