Medida del volumen y densidad de un sólido 0001

, por F_y_Q

En una probeta de 250\ cm^3 se miden 200\ cm^3 de agua. A continuación se introduce una piedra de 100 g de masa y el nivel del agua sube hasta 225\ cm^3. ¿Cuál es el volumen de la piedra? ¿Cuál es su densidad?

P.-S.

El volumen de la piedra será la diferencia de los volúmenes medidos: 225 - 200 = \bf 25\ cm^3.
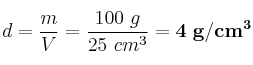
La densidad de la piedra será:

d = \frac{m}{V} = \frac{100\ g}{25\ cm^3} = \bf 4\ g/cm^3