Material del que está hecho un conductor al calcular su resistividad (1710)

, por F_y_Q

Un hilo conductor tiene una longitud de 10 m y radio de 3 mm. Si su resistencia es de 0.019\ \Omega, ¿de qué material está hecho el conductor?

Datos: \rho_{\ce{Cu}}= 1.7\cdot 10^{-8}\ \Omega\cdot m ; \rho_{\ce{Si}} = 640 \ \Omega\cdot m ; \rho_{\ce{W}} = 5.4\cdot 10^{-8}\ \Omega\cdot m ; \rho_{\ce{Pb}} = 22 \cdot 10^{-8}\ \Omega\cdot m

P.-S.

Como debes calcular la resistividad del material y conoces su resistencia y sus dimensiones, puedes despejar el valor de la resistividad en la ecuación de la resistencia del conductor:

R= \rho\cdot \frac{L}{S}\ \to\ \color[RGB]{2,112,20}{\bm{\rho = \frac{R\cdot S}{L}}}

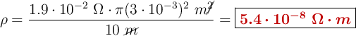
Sustituyes los datos, teniendo cuidado con las unidades, y calculas el valor de la resistividad:

\rho= \frac{1.9\cdot 10^{-2}\ \Omega\cdot \pi(3\cdot 10^{-3})^2\ m\cancel{^2}}{10\ \cancel{m}} = \fbox{\color[RGB]{192,0,0}{\bm{5.4\cdot 10^{-8}\ \Omega\cdot m}}}


Si comparas el resultado con los datos del enunciado puedes ver que el hilo es de wolframio (W).


Descarga el enunciado y la resolución del problema en formato EDICO