Masas de soluto y disolvente en una disolución 0001

, por F_y_Q

Tres litros de una solución al 5\% (p/p) de FeCl_3 en agua tiene una densidad de 1,23 g/mL. ¿Cuántos gramos de la sal y cuántos gramos de agua contienen esos tres litros?

P.-S.

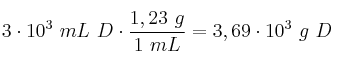
La masa de esos tres litros de disolución la podemos calcular a partir del dato de la densidad de la disolución y es:
3\cdot 10^3\ mL\ D\cdot \frac{1,23\ g}{1\ mL} = 3,69\cdot 10^{3}\ g\ D
La cantidad de sal en la disolución será:

3,69\cdot 10^3\ g\ D\cdot \frac{5\ g\ FeCl_3}{100\ g\ D} = \bf 184,5\ g\ FeCl_3


De agua habrá la diferencia entre la masa de los tres litros y la masa de sal, por lo que serán: 3 505,5 g