Masa y volumen de una disolución a partir de su densidad (2846)

, por F_y_Q

Una disolución de ácido clorhídrico tiene la densidad de 1.12 g/mL. Calcula la masa de 750 mL de disolución y el volumen ocupado por 750 g de esta.

P.-S.

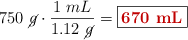
Puedes a hacer el ejercicio usando el dato de la densidad de la disolución como si fuera un factor de conversión:

750\ \cancel{mL}\cdot \frac{1,12\ g}{1\ \cancel{mL}} = \fbox{\color[RGB]{192,0,0}{\bf 840\ g}}


750\ \cancel{g}\cdot \frac{1\ mL}{1.12\ \cancel{g}} = \fbox{\color[RGB]{192,0,0}{\bf 670\ mL}}