Masa total de una mezcla de moles de dos metales (2471)

, por F_y_Q

Determina la masa de una mezcla que contiene 18 mol de cobre y 24 mol de zinc (Cu = 63.5 ; Zn = 65)

P.-S.

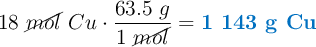
Con los datos de las masas atómicas de ambos elementos conviertes los moles a masa de cada uno:

18\ \cancel{mol}\ Cu\cdot \frac{63.5\ g}{1\ \cancel{mol}} = \color[RGB]{0,112,192}{\textbf{1 143 g Cu}}

24\ \cancel{mol}\ Zn\cdot \frac{65\ g}{1\ \cancel{mol}} = \color[RGB]{0,112,192}{\textbf{1 560 g Zn}}

La masa total será:

m_T = (1\ 143 + 1\ 560)\ g = \fbox{\color[RGB]{192,0,0}{\bm{2\ 703\ g}}}