Masa molecular del cloro a partir de un volumen 0001

, por F_y_Q

Si un litro de cloro, medido en condiciones normales, tiene una masa de 3,17 g. ¿Cuál será la masa de un mol de moléculas de cloro?

P.-S.

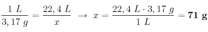
Al estar en condiciones normales, sabemos que un mol de cualquier gas ocupa 22,4 L. Basta con que hagamos una proporción:

\frac{1\ L}{3,17\ g} = \frac{22,4\ L}{x}\ \to\ x = \frac{22,4\ L\cdot 3,17\ g}{1\ L} = \bf 71\ g