Masa de una piedra sabiendo la tensión que provoca (4211)

, por F_y_Q

Calcula la masa de una piedra que pende del extremo de una cuerda cuya tensión en la misma es de 19.6 N.

P.-S.

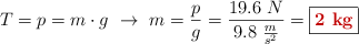
Si supones que la piedra está en reposo, la tensión de la cuerda ha de ser igual al peso de la piedra. El peso es el producto de la masa por la aceleración de la gravedad:

T = p = m\cdot g\ \to\ m = \frac{p}{g} = \frac{19.6\ N}{9.8\ \frac{m}{s^2}} = \fbox{\color[RGB]{192,0,0}{\bf 2\ kg}}