Masa de una pelota que se lanza hacia arriba con una energía dada (6593)

, por F_y_Q

¿Cuál es la masa de una pelota a la que se le da una energía de 60 J y se eleva hasta una altura máxima de 12 m? Considera que g  = 10\ \textstyle{m\over s^2} y expresa el resultado en gramos.

P.-S.

A partir de la ecuación de la energía potencial puedes despejar el valor de la masa:

E_P = m\cdot g\cdot h\ \to\ \color[RGB]{2,112,20}{\bm{m = \frac{E_P}{g\cdot h}}}

Sustituyes los datos y calculas:

m = \frac{60\ J}{10\ \frac{m}{s^2}\cdot 12\ m} = \color[RGB]{0,112,192}{\bf 0.5\ kg}

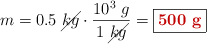
Como tienes que expresar el resultado en gramos:

m = 0.5\ \cancel{kg}\cdot \frac{10^3\ g}{1\ \cancel{kg}} = \fbox{\color[RGB]{192,0,0}{\bf 500\ g}}


Descarga el enunciado y la resolución del problema en formato EDICO si lo necesitas.