Masa de un volumen de gas 0001

, por F_y_Q

Determina la masa de un litro de metano cuando está en condiciones normales, sabiendo que la masa molecular del metano es 16 g/mol.

P.-S.

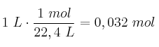
En condiciones normales se cumple que 1 mol de cualquier gas ocupa 22,4 L:

1\ L\cdot \frac{1\ mol}{22,4\ L} = 0,032\ mol


Teniendo en cuenta el dato de la masa molecular:

0,032\ mol\cdot \frac{16\ g}{1\ mol} = \bf 0,512\ g