Masa de un piano que acelera cuando una persona lo empuja (6567)

, por F_y_Q

¿Qué masa, expresada en gramos, posee un piano que es empujado por una persona con una fuerza de 56 N, si se mueve con una aceleración de 0.35\ \textstyle{m\over s^2} ?

P.-S.

Si aplicas la segunda ley de la dinámica:

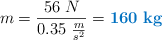
F = m\cdot a\ \to\ m = F\cdot a

Solo tienes que sustituir los datos del enunciado:

m = \frac{56\ N}{0.35\ \frac{m}{s^2}} = \color[RGB]{0,112,192}{\bf 160\ kg}

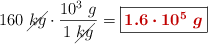
Como el resultado debe estar expresado en gramos, según dice el enunciado, solo tienes que hacer el cambio de unidad:

160\ \cancel{kg}\cdot \frac{10^3\ g}{1\ \cancel{kg}} = \fbox{\color[RGB]{192,0,0}{\bm{1.6\cdot 10^5\ g}}}