Masa de un objeto a partir de su densidad 0001

, por F_y_Q

Halla la masa de un cuerpo cuya densidad es 0,2 g/mL, si ocupa un volumen de 1 L.

P.-S.

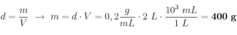
Como la densidad es el cociente entre la masa y el volumen, podemos despejar el valor de la masa:

d = \frac{m}{V}\ \to\ m = d\cdot V = 0,2\frac{g}{mL}\cdot 2\ L\cdot \frac{10^3\ mL}{1\ L} = \bf 400\ g


Cuidado porque hay que transformar el volumen en mL para que la ecuación sea homogénea.