Masa de un avión que despega a partir de la fuerza de las turbinas y su aceleración

, por F_y_Q

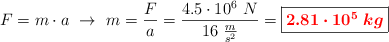
¿Cuál es la masa de un avión si sus turbinas le aplican una fuerza al despegar de 4.5\cdot 10^6\ N y la aceleración que alcanza es de 16\ \textstyle{m\over s^2}?

P.-S.

Solo tienes que aplicar la segunda ley de dinámica para obtener el valor de la aceleración que buscas:

F = m\cdot a\ \to\ m = \frac{F}{a} = \frac{4.5\cdot 10^6\ N}{16\ \frac{m}{s^2}} = \fbox{\color{red}{\bm{2.81\cdot 10^5\ kg}}}