Masa de soluto para un volumen de disolución cinco molar (2056)

, por F_y_Q

¿Cuántos gramos de soluto se requieren para preparar 7.3 litros de solución 5 M de \ce{Al2O3}?

Masas atómicas: Al = 27 ; O = 16.

P.-S.

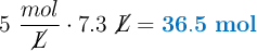
La concentración molar requerida te indica que necesitas cinco moles de soluto por cada litro de disolución. Como te dicen que tienes que preparar 7.3 L de disolución, necesitarás:

5\ \frac{mol}{\cancel{L}}\cdot 7.3\ \cancel{L} = \color[RGB]{0,112,192}{\bf 36.5\ mol}

Para poder convertir este dato en masa, necesita saber la masa molecular de la sustancia:

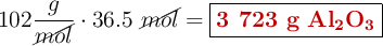
M_{\ce{Al2O3}} = 27\cdot 2 + 16\cdot 3 = \color[RGB]{0,112,192}{\bm{102\ \frac{g}{mol}}}

Por último, basta con que hagas la proporción:

102 \frac{g}{\cancel{mol}}\cdot 36.5\ \cancel{mol} = \fbox{\color[RGB]{192,0,0}{\bf 3\ 723\ g}\ \bf \ce{Al2O3}}}