Masa de soluto necesaria para disolución en % en peso 0001

, por F_y_Q

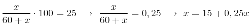
¿Cuántos gramos de sulfato de sodio se deben disolver en 60 gramos de agua para obtener una disolución 25\% (p/p)?

P.-S.

Llamaremos "x" a la cantidad de soluto que necesitamos. La masa de la disolución será la suma de la masa de agua y esa "x", es decir, (60 + x). Se debe cumplir la igualdad:

\frac{x}{60 + x}\cdot 100 = 25\ \to\ \frac{x}{60 + x} = 0,25\ \to\ x = 15 + 0,25x


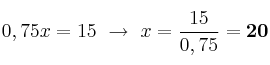
Despejamos y obtenemos:

0,75x = 15\ \to\ x = \frac{15}{0,75}= \bf 20

Hay que disolver 20 g de sulfato de sodio.