Masa de soluto en disolución %(V/V) (3517)

, por F_y_Q

Una disolución de etanol al 11\ \% (V/V) con un volumen total de 500 mL, ¿cuántos gramos de soluto contiene? Considera que la densidad el etanol puro es 0.78 g/mL.

P.-S.

La disolución de etanol contiene 11 mL de alcohol por cada 100 mL de disolución que consideres:

500\ \cancel{mL\ D}\cdot \frac{11\ mL\ S}{100\ \cancel{mL\ D}} = \color[RGB]{0,112,192}{\bf 55\ mL\ S}

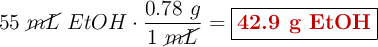
Para poder calcular los gramos de soluto debes utilizar el dato de la densidad del etanol:

55\ \cancel{mL}\ EtOH\cdot \frac{0.78\ g}{1\ \cancel{mL}} = \fbox{\color[RGB]{192,0,0}{\bf 42.9\ g\ EtOH}}