Masa atómica en un óxido metálico 0001

, por F_y_Q

Un óxido triatómico del tipo M_2O tiene un 77,8\% en masa del metal. Calcula la masa atómica del metal.

P.-S.

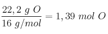
Si consideramos 100 g del óxido, 77,8 g serán del metal (M) y 22,2 g del oxígeno (O). Ahora convertimos esa masa en mol, usando las masa atómica del oxígeno:

\frac{22,2\ g\ O}{16\ g/mol} = 1,39\ mol\ O

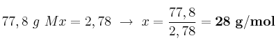
Hemos supuesto que nuestro óxido solo contiene un átomo de oxígeno, es decir, que 1,39 es la proporción menor dentro de nuestro óxido, de manera que al dividir el resultado anterior por sí mismo obtenemos uno, que es la proporción de oxígeno en el óxido. Ahora lo hacemos para el metal, pero teniendo en cuenta que el cociente debería resultar el doble de 1,39, es decir, 2,78:

77,8\ g\ M}{x} = 2,78\ \to\ x = \frac{77,8}{2,78} = \bf 28\ g/mol