Longitud de un alambre de aluminio conocido su diámetro (5138)

, por F_y_Q

Un alambre de aluminio tiene un diámetro de 2.59 mm. ¿Cuántos metros de alambre de aluminio se necesitan para ofrecer una resistencia de 1 \ \Omega?

Dato: \rho_{\ce{Al}} = 2.8\cdot 10^{-8}\ \Omega\cdot m

P.-S.

A partir de la ecuación de la resistencia del conductor puedes despejar el valor de la longitud:

R = \rho\cdot \frac{L}{S}\ \to\ \color[RGB]{2,112,20}{\bm{L = \frac{R\cdot S}{\rho}}}

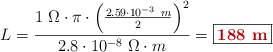
Solo tienes que sustituir los datos pero teniendo cuidado con el cálculo de la sección del alambre, que ha de estar expresado en m ^2:

L = \frac{1\ \Omega\cdot \pi\cdot \left(\frac{2.59\cdot 10^{-3}\ m}{2}\right)^2}{2.8\cdot 10^{-8}\ \Omega\cdot m} = \fbox{\color[RGB]{192,0,0}{\bf 188\ m}}