Ley general de los gases: temperatura final de un gas (2026)

, por F_y_Q

A 298 K de temperatura y 0.8 atm de presión un gas ocupa un volumen de 2 L. ¿Cuál será la temperatura del sistema cuando la presión del gas sea 1.03 atm y el volumen se haya reducido en un tercio del volumen inicial?

P.-S.

Los datos del enunciado son:

P_1 = 0.8\ atm ; T_1 = 298\ K ; V_1 = 2\ L
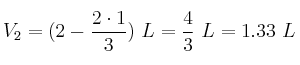
P_2 = 1.03\ atm ; V_2 = (2 - \frac{2\cdot 1}{3})\ L = \frac{4}{3}\ L = 1.33\ L

Aplicas la ecuación de estado de los gases y despejas la temperatura final:

\frac{P_1\cdot V_1}{T_1} = \frac{P_2\cdot V_2}{T_2}\ \to\ \color[RGB]{2,112,20}{\bm{T_2= \frac{P_2\cdot V_2\cdot T_1}{P_1\cdot V_1}}}

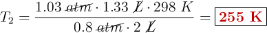
Sustituyes los datos y calculas:

T_2 = \frac{1.03\ \cancel{atm}\cdot 1.33\ \cancel{L}\cdot 298\ K}{0.8\ \cancel{atm}\cdot 2\ \cancel{L}} = \fbox{\color[RGB]{192,0,0}{\bf 255\ K}}



RESOLUCIÓN DEL EJERCICIO EN VÍDEO.