Ley de las proporciones definidas: cantidades de oxígeno con carbono (4819)

, por F_y_Q

Se consumen exactamente 10.67 g de oxígeno al reaccionar con 4.00 g de carbón finamente molido para obtenerse un óxido de carbono. Calcula las cantidades necesarias de oxígeno que reaccionarían con 3.00 g y con 9.50 g de carbón.

P.-S.

La ley de las proporciones definidas o ley de Proust indica que las cantidades de dos o más elementos que se combinan para dar lugar a un mismo compuesto guardan una proporción constante entre sí, sea cual sea el modo en el que se produzca el proceso. Si aplicas esta ley, puedes averiguar las cantidades de oxígeno pedidas.

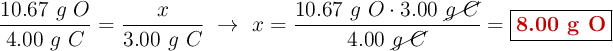
Para los 3.00 g de C:

\frac{10.67\ g\ O}{4.00\ g\ C} = \frac{x}{3.00\ g\ C}\ \to\ x = \frac{10.67\ g\ O\cdot 3.00\ \cancel{g\ C}}{4.00\ \cancel{g\ C}} = \fbox{\color[RGB]{192,0,0}{\bf 8.00\ g\ O}}


Para los 9.50 g de C:

\frac{10.67\ g\ O}{4.00\ g\ C} = \frac{x}{9.50\ g\ C}\ \to\ x = \frac{10.67\ g\ O\cdot 9.50\ \cancel{g\ C}}{4.00\ \cancel{g\ C}} = \fbox{\color[RGB]{192,0,0}{\bf 25.34\ g\ O}}