Ley de Hooke: alargamiento que se produce en un muelle (4684)

, por F_y_Q

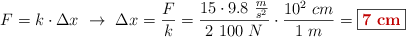
Se cuelga en un muelle, cuya constante recuperadora es 2\ 100\ \textstyle{N\over m} , una masa de 15 kg. Determina el alargamiento que sufre el muelle, expresado en centímetros.

P.-S.

Aplicando la ley de Hooke, y teniendo en cuenta que la fuerza será el peso, es decir, el producto de la masa por la aceleración de la gravedad:

F = k\cdot \Delta x\ \to\ \Delta x = \frac{F}{k} = \frac{15\kg\cdot 9.8\ \frac{m}{s^2}}{2\ 100\ N}\cdot \frac{10^2\ cm}{1\ m} = \fbox{\color[RGB]{192,0,0}{\bf 7\ cm}}