Ley de Hooke: Constante de recuperación de un muelle al que se le cuelga una masa (7200)

, por F_y_Q

Se cuelga un cuerpo masa 579 g de un resorte y se le aplica una fuerza de 50 N vertical hacia arriba. Si el resorte se comprime 20 cm, ¿cuánto vale la constante del resorte? ¿Cuál sería la elongación del resorte si no se le aplicara dicha fuerza?

P.-S.

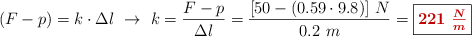
El peso es vertical y hacia abajo por lo que la fuerza resultante sobre el resorte es la diferencia entre la fuerza aplicada y el peso del cuerpo. Si aplicas la ley de Hooke puedes obtener el valor de la constante recuperadora:

(F - p) = k\cdot \Delta l\ \to\ k = \frac{F - p}{\Delta l} = \frac{[50 - (0.59\cdot 9.8)]\ N}{0.2\ m} = \fbox{\color[RGB]{192,0,0}{\bm{221\ \frac{N}{m}}}}


Si no se aplica la fuerza vertical hacia arriba, el resorte se estira y su elongación será:

\Delta l = \frac{p}{k} = \frac{(0.59\cdot 9.8)\ \cancel{N}}{221\ \frac{\cancel{N}}{m}} = \fbox{\color[RGB]{192,0,0}{\bm{2.62\cdot 10^{-2}\ m}}}