Ley de Boyle-Mariotte (3026)

, por F_y_Q

Tenemos inicialmente 2 L de hidrógeno a una presión de 1.2 atm. Si lo comprimimos, a temperatura constante, hasta una presión de 2.7 atm, ¿cuál es el volumen final del gas?

P.-S.

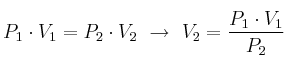
Según la ley de Boyle-Mariotte, el producto de la presión por el volumen ha de ser constante: P_1\cdot V_1  = P_2\cdot V_2

Despejando el valor del volumen final:

V_2 = \frac{P_1\cdot V_1}{P_2} = \frac{1.2\ \cancel{atm}\cdot 2\ L}{2.7\ \cancel{atm}} = \fbox{\color[RGB]{192,0,0}{\bf 0.89\ L}}