Ley de Boyle-Mariotte 0003

, por F_y_Q

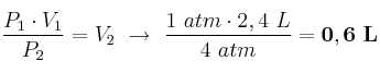
Un gas encerrado en un recipiente de 2,4 L experimenta una variación de la presión desde 1 atm hasta 4 atm. ¿Cuál es su volumen final si la temperatura permanece constante?

P.-S.

Al ser un proceso isotérmico, con temperatura constante, debemos aplicar la Ley de Boyle-Mariotte: P_1\cdot V_1 = P_2\cdot V_2:

\frac{P_1\cdot V_1}{P_2} = V_2\ \to\ \frac{1\ atm\cdot 2,4\ L}{4\ atm} = \bf 0,6\ L


Por lo que el volumen final será de 0,6 L