Interpretación de la constante de equilibrio 0001

, por F_y_Q

Con base al valor de K_C decide si se espera o no que la reacción sea casi completa en equilibrio para cada caso:

a) N_2 + O_2\ \to\ 2NO donde K_C = 4,6\cdot 10^{-31}

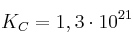
b) C_2H_4 + H_2\ \to\ C_2H_6 donde K_C = 1,3\cdot 10^{21}

P.-S.

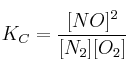
a) El valor de K_C = 4,6\cdot 10^{-31} es extremadamente pequeño, lo que significa que este proceso apenas se da en el sentido de la reacción escrita. La explicación está en la expresión de la constante de equilibrio:

K_C = \frac{[NO]^2}{[N_2][O_2]}


Un valor tan bajo de la constante quiere decir que el numerador de la ecuación anterior es muy pequeño en comparación con el denominador, es decir, que la concentración de monóxido de nitrógeno es muy pequeña en comparación la concentración de nitrógeno y oxígeno. Por lo tanto el proceso apenas "avanza" desde los reactivos hacia el producto.
b) En este otro caso el valor K_C = 1,3\cdot 10^{21} es enorme. Siguiendo el mismo razonamiento que antes, la concentración del producto mucho mayor que la de los reactivos, por lo que la reacción se da casi completamente tal y como está escrita.