Constante de equilibrio a partir de los moles en el equilibrio

, por F_y_Q

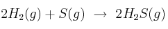
El hidrógeno gaseoso, el azufre en forma de vapor y el ácido sulfhídrico gaseoso se encuentran en equilibrio de acuerdo a la reacción:
2H_2(g) + S(g)\ \to\ 2H_2S(g)
Si se tienen en el equilibrio 2 moles de H_2S, 1,5 moles de H_2 y 3\cdot 10^{-5} moles de S en un recipiente de 10 L a 700^oC. ¿Cuál es el valor de K_C?

P.-S.

Como conocemos los moles en el equilibrio de cada una de las especies, y todas son gaseosas, podemos calcular la concentración molar de cada una y luego sustituir en la ecuación de la constante.
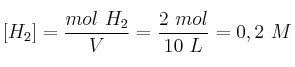
[H_2] = \frac{mol\ H_2}{V} = \frac{2\ mol}{10\ L} = 0,2\ M
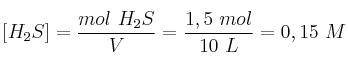
[H_2S] = \frac{mol\ H_2S}{V} = \frac{1,5\ mol}{10\ L} = 0,15\ M
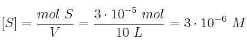
[S] = \frac{mol\ S}{V} = \frac{3\cdot 10^{-5}\ mol}{10\ L} = 3\cdot 10^{-6}\ M

K_C = \frac{[H_2S]^2}{[H_2]^2\cdot [S]} = \frac{0,15^2\ M^2}{0,2^2\ M^2\cdot 3\cdot 10^{-6}\ M} = \bf 1,88\cdot 10^5\ M^{-1}