Intensidad de un circuito con dos resistencias en serie (1714)

, por F_y_Q

Calcula la intensidad de corriente que circula por un circuito que tiene dos resistencias, conectadas en serie, de 5\ \Omega y 3\ \Omega, y que está conectado a una batería de 10 V.

P.-S.

Al estar conectadas en serie las resistencias, la resistencia equivalente es:

R_{\text{eq}} = R_1 + R_2 = (5 + 3)\ \Omega = \color[RGB]{0,112,192}{\bm{8\ \Omega}}

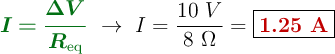
La intesidad de corriente la obtienes a partir de la ley de Ohm:

{\color[RGB]{2,112,20}{\bm{I = \frac{\Delta V}{R_{\text{eq}}}}}}\ \to\ I = \frac{10\ V}{8\ \Omega} = \fbox{\color[RGB]{192,0,0}{\bf 1.25\ A}}