Hora a la que se cruzan dos trenes que se mueven en sentido contrario (6446)

, por F_y_Q

Un tren se encuentra en la posición 25 km y otro está en la posición 365 km. Ambos se acercan, el primero con rapidez de 50 km/h y el segundo con rapidez de 70 km/h. Si parten a las 9 h y 15 min, ¿a qué hora se cruzan en el camino?

P.-S.

Ambos trenes se mueven con movimiento uniforme, con lo que las ecuaciones de la posición de cada uno son:

\left x_A = x_{0A} + v_A\cdot t\ \to\ x_A = 25 + 50t \atop x_B = x_{0B} - v_B\cdot t\ \to\ x_B = 365 - 70t \rigt \}

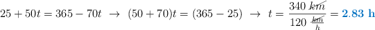
Cuando se crucen ambos trenes sus posiciones serán iguales:

25 + 50t = 365 - 70t\ \to\ (50 + 70)t = (365 - 25)\ \to\ t = \frac{340\ \cancel{km}}{120\ \frac{\cancel{km}}{h}} = \color[RGB]{0,112,192}{\bf 2.83\ h}

Debes convertir 0.83 h a minutos:

0.83\ \cancel{h}\cdot \frac{60\ min}{1\ \cancel{h}} = \color[RGB]{0,112,192}{\bf 50\ min}

Habrán pasado dos horas y cincuenta minutos cuando se crucen por lo que la hora a la que se cruzan será las 12:05 h.