Gramos, moles y moléculas de amoniaco que quedan

, por F_y_Q

En un recipiente hay 8,5 g de amoniaco (NH_3) y se eliminan 1,5\cdot 10^{23} moléculas de amoniaco. Determina:

a) ¿Cuántos moles de NH_3 quedan?

b) ¿Cuántas moléculas de NH_3 quedan?

c) ¿Cuántos gramos de amoniaco quedan?

P.-S.

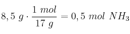
Dado que la masa molecular del amoniaco es 14·1 + 3·1 = 17 g/mol, los 8,5 g de amoniaco son:

8,5\ g\cdot \frac{1\ mol}{17\ g} = 0,5\ mol\ NH_3

Vamos a convertir los moles de amoniaco a moléculas:

0,5\ mol\ NH_3\cdot \frac{6,022\cdot 10^{23}\ mol\acute{e}c}{1\ mol} = 3,011\cdot 10^{23}\ mol\acute{e}c\ NH_3


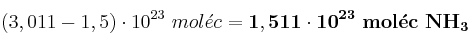
b) Nos quedarán, después de eliminar las 1,5\cdot 10^{23} moléculas:

(3,011 - 1,5)\cdot 10^{23}\ mol\acute{e}c = \bf 1,511\cdot 10^{23}\ mol\acute{e}c\ NH_3


a) Que representan un total de:

1,511\cdot 10^{23}\ mol\acute{e}c\ NH_3\cdot \frac{1\ mol}{6,022\cdot 10^{23}\ mol\acute{e}c} = \bf 0,25\ mol\ NH_3


c) Lo convertimos a masa:

0,25\ mol\ NH_3\cdot \frac{17\ g}{1\ mol} = \bf 4,25\ g\ NH_3