Fracción molar de soluto y disolvente en disolución 0001

, por F_y_Q

Una disolución contiene 20 gramos de NaCl y 40 gramos de H_2O. ¿Cuáles son las fracciones molares del H_2O y NaCl?

P.-S.

En primer lugar debemos calcular los moles de cada sustancia:
20\ g\ NaCl\cdot \frac{1\ mol}{(23 + 35,5)\ g} = 0,342\ mol\ NaCl
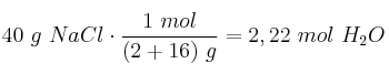
40\ g\ NaCl\cdot \frac{1\ mol}{(2 + 16)\ g} = 2,22\ mol\ H_2O
La fracción molar del NaCl será:

x_{NaCl} = \frac{0,342\ mol}{(0,342 + 2,22)\ mol} = \bf 0,133


La fracción molar del agua será: 1 - 0,133 = 0,867