Fórmula empírica a partir de masas de elementos (3850)

, por F_y_Q

En 3.63 g de un compuesto de oxígeno y calcio hay 2 g de calcio. Halla la formula empírica de este compuesto.

P.-S.

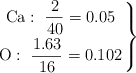
Si contiene 2 g de Ca contendrá 1.63 g de O, dado que la suma de ambos tipos de átomos ha de ser igual a la suma del compuesto. Tomas como masas atómicas de cada tipo de átomo Ca (40) y O (16).

\left \ce{Ca}:\ \dfrac{2}{40} = 0.05 \atop \ce{O}:\ \dfrac{1.63}{16} = 0.102 \right \}

Para poder saber qué relación numérica existe entre ambos átomos divides por el valor más pequeño de los obtenidos, asignándole así el valor 1:

\left \ce{Ca}:\ \dfrac{0.05}{0.05} = 1 \atop \ce{O}:\ \dfrac{0.102}{0.05} = 2 \right \}


Es decir, habrá la mitad de átomos de Ca que de O, por lo que la fórmula empírica del compuesto es \fbox{\color[RGB]{192,0,0}{\textbf{\ce{CaO2}}}}