Evaporación y concentración g/L 0001

, por F_y_Q

Se toman 600 mL de disolución de cloruro de potasio, de concentración 10 g/L, y se calientan hasta que su volumen final es de 150 mL. ¿Cuál será la nueva concentración de la disolución?

P.-S.

Se habrá evaporado sólo disolvente con lo que el soluto sigue siendo el mismo. Había un total de:

600\ mL\ D\cdot\frac{10\ g\ S}{1\ 000\ mL\ D} = 6\ g\ S


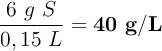
La nueva concentración será:

\frac{6\ g\ S}{0,15\ L} = \bf 40\ g/L