EvAU configuración electrónica de un catión

, por F_y_Q

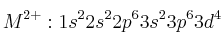
El ión positivo de un elemento M tiene la configuración electrónica M^{2+}: 1s^22s^22p^63s^23p^63d^4.

a) ¿Cuál es el número atómico de M?

b) ¿Cuál es la configuración de su ión M^{3+} expresada en función del gas noble que le antecede?

c) ¿Qué números cuánticos corresponderían a un electrón 3d de este elemento?

P.-S.

a) \fbox{\color[RGB]{192,0,0}{\bf Z = 24}}

b) \fbox{\color[RGB]{192,0,0}{\bf \ce{M^3+}: [Ar]3d^3}}

c) \fbox{\color[RGB]{192,0,0}{\bm{(3, 2, 0, \textstyle{1\over 2})}}}