Longitud de onda de un fotón para que pueda disociar una molécula de nitrógeno (8075)

, por F_y_Q

Calcula la longitud de onda máxima de un fotón que pueda producir la reacción:

\ce{N2(g) -> 2N(g)\ \ \ \ \ \Delta H = 225\ \frac{kcal}{mol}}

Datos: h = 6.63\cdot 10^{-34}\ J\cdot s ; c = 3 \cdot 10^8\ m\cdot s^{-1}

P.-S.

Como la entalpía de reacción viene dada por mol, es necesario que la conviertas a julios y la refieras a un único fotón:

225\ \frac{\cancel{kcal}}{\cancel{mol}}\cdot \frac{1\ \cancel{mol}}{6.022\cdot 10^{23}\ fot\acute{o}n}\cdot \frac{10^3\ \cancel{cal}}{1\ \cancel{kcal}}\cdot \frac{4.184\ J}{1\ \cancel{cal}} = \color[RGB]{0,112,192}{\bm{1.56\cdot 10^{-18}\ \frac{J}{fot\acute{o}n}}}

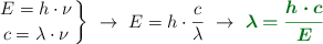
A partir de la ecuación de Planck y de la relación entre la frecuencia y la longitud de onda, puedes obtener la ecuación para calcular la longitud de onda:

\left E = h\cdot \nu \atop c = \lambda\cdot \nu \right \}\ \to\ E = h\cdot \frac{c}{\lambda}\ \to\ \color[RGB]{2,112,20}{\bm{\lambda = \frac{h\cdot c}{E}}}

Sustituyes los valores y calculas:

\lambda = \frac{6.63\cdot 10^{-34}\ \cancel{J}\cdot \cancel{s}\cdot 3\cdot 10^8\ m\cdot \cancel{s^{-1}}}{1.56\cdot 10^{-18}\ \cancel{J}} = \fbox{\color[RGB]{192,0,0}{\bm{1.28\cdot 10^{-7}\ m}}}