Estequiometría y rendimiento de reacción 0001

, por F_y_Q

¿Qué volumen de etileno, medido en condiciones normales, se puede obtener con 25 g de etanol puro, siendo la eficiencia de la reacción del 75 por ciento?

P.-S.

Se trata de una reacción de deshidratación de un alcohol:

C_2H_6O\ \to\ C_2H_4 + H_2O


La estequiometría entre el etanol y el etileno es 1:1, por lo tanto se obtendrían los mismos moles de etileno que los moles de etanol que hayan reaccionado. Calculamos los moles de etanol:

25\ g\cdot \frac{1\ mol}{46\ g} = 0,54\ mol\ C_2H_6O


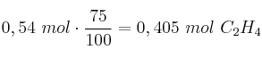
Deberían obtenerse 0,54 mol de etileno. Pero el proceso se verifica sólo al 75\%, por lo tanto, reaccionará menos etanol del calculado y se obtendrán:

0,54\ mol\cdot \frac{75}{100} = 0,405\ mol\ C_2H_4


Solo nos queda convertir estos moles a volumen:

0,405\ mol\cdot \frac{22,4\ L}{1\ mol} = \bf 9,07\ L\ C_2H_4