Estequiometría: relación entre masas de reactivos y productos 0001

, por F_y_Q

¿Qué masa de ClO_2 se necesita para producir 8,36 kg de HClO_3 según la siguiente reacción?

2ClO_2 + H_2O\ \to HClO_3 + HClO_2


P.-S.

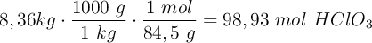
Los 8,36 kg de HClO_3, expresados en mol, son:

8,36 kg\cdot \frac{1000\ g}{1\ kg}\cdot \frac{1\ mol}{84,5\ g} = 98,93\ mol\ HClO_3


Si nos fijamos en la estequiometría de la reacción veremos que 2 mol de ClO_2 dan 1 mol de HClO_3. Siguiendo esta proporción:

98,93\ mol\ HClO_3\cdot \frac{2\ mol\ ClO_2}{1\ mol\ HClO_3} = 197,86\ mol\ ClO_2


Sólo nos queda convertir los moles de ClO_2 en masa:

197,86\ mol\ ClO_2\cdot \frac{67,5\ g}{1\ mol} = 13\ 355\ g\ ClO_2\ \equiv\ \bf 13,36\ kg\ ClO_2